Research
Efficient estimation of effects from modified stochastic interventions,
Stochastic (soft) interventions provide fine-grained ways to modify treatment assignment via probabilistic or functional shifts. I study query formulation, interpretability, and efficient estimation under such interventions.
I develop two families of cost-aware interventions that generalize incremental propensity score interventions (IPI) for discrete treatments \(A\in\mathcal{A}=\{\alpha_1,\dots,\alpha_K\}\) with costs \(c(\alpha_k)\geq 0\). A scalar \(\delta\in\mathbb{R}\) defines interpolations from the organic propensity \(\pi\) or a target policy \(\nu\) toward a product-of-experts blend: \[ \begin{aligned} \pi^*_\delta(a\,|\, w) &= \frac{(\zeta_\delta+\xi_\delta(a))\,\pi(a\,|\, w)}{\sum_{a'\in\mathcal{A}}(\zeta_\delta+\xi_\delta(a'))\,\pi(a'\,|\, w)},\\ \nu^*_\delta(a\,|\, w) &= \frac{\nu(a)-\xi_\delta(a)(1-\pi(a\,|\, w))}{\sum_{a'\in\mathcal{A}}(\zeta_\delta+\xi_\delta(a'))\,\pi(a'\,|\, w)}, \end{aligned} \]
where \(\xi_\delta(a) :=\nu(a)\left(1-e^{-\delta c(a)}\right)\) and \(\zeta_\delta :=\sum_{a'\in\mathcal{A}}\nu(a')\,e^{-\delta c(a')}\)

We derived the efficient influence function, under a nonparametric model, of the expected outcomes under these interventions: \(\mathbb{E}[Y^{\pi^*_\delta}]\) and \(\mathbb{E}[Y^{\nu^*_\delta}]\), respectively, and implemented respective Newton-Raphson one-step estimators.
Research questions:
- How can cost-aware stochastic interventions be embedded in resource-constrained decision problems (budgets, deployment costs), and what optimality/duality conditions follow?
- How can data-dependent targets (e.g., learned dynamic treatment regimes) be incorporated while preserving identification and enabling efficient inference in the presence of nonregularity?
Papers:
- Upcoming.
Graphical models for causal inference under selection and mechanism shift,
I develop graphical models that encode selection, missingness, attrition, and mechanism shifts.
Conside a point exposure variable \(A\), outcome \(Y_1\) and confounders \(W\) and \(Y_0\) (a lagged, pre-exposure outcome). Some units may have \(Y_0\) missing (\(R_{Y_0}=0\)). If the missingness reflects that the unit itself lacks access to \(Y_0\) (or \(Y_0\) was not realized), downstream mechanisms can change because \(Y_0\) cannot inform either \(A\) or \(Y_1\) for them. Standard missing data graphs (\(m\)-graphs) cannot represent these shifts. We introduce an augmented graphical model –\(lm\)-graphs– that explicitly encodes such shifts and supports identification analysis.

In this graph, the full average treatment effect (FATE) can be recovered as: \[ \Delta_a\mathbb{E}[Y\mid \operatorname{do}(A=a,R_{Y_0}=1)] = \mathbb{E}_W\mathbb{E}_{Y_0|W,R_{Y_0}=1}\Delta_a\mathbb{E}[Y\,|\,W,Y_0,A=a,R_{Y_0}=1], \]
and the natural average treatment effect (NATE) as: \[ \begin{aligned} \Delta_a\mathbb{E}[Y\mid \operatorname{do}(A=a)] =& \mathbb{P}(R_{Y_0}=0)\,\mathbb{E}_{W|R_{Y_0}=0}[Y\,|\,W,A=a,R_{Y_0}=0]\\ &+ \mathbb{P}(R_{Y_0}=1)\,\mathbb{E}_{W,Y_0|R_{Y_0}=1}[Y\,|\,W,Y_0,A=a,R_{Y_0}=1]. \end{aligned} \]
Research questions:
- How do the fundamental limits of statistical testability in missing-data models shape identification and inference under \(lm\)-graphs?
- How the existence of context-specific independences (CSI) impact the construction of regular parametric submodels and the feasibility of efficient estimators (e.g., TMLE)?
Papers:
- de Aguas, Henckel, Pensar, Biele (2025). Causal inference amid missingness-specific independencies and mechanism shifts. UAI proceedings.
- de Aguas, Pensar, Varnet-Pérez, Biele (2025). Recovery and inference of causal effects with sequential adjustment for confounding and attrition. Journal of Causal Inference
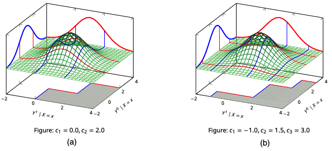
Partial identification of causal and counterfactual queries,
I study how shape constraints can enable point or partial identification for causal and counterfactual parameters.
For instance, with a binary point exposure \(A\), an (absolutely) continuous outcome \(Y\), and pre-exposure stratification variable \(X\), one can define the probability of tiered benefit, given cutoffs \(c=\{c_k\}_{k=1}^{K-1}\), as: \[ \operatorname{PB}_c(x) = \sum_{k=1}^{K-1}\mathbb{P}(Y^0\in (c_{k-1},c_k],Y^1>c_k\,|\,X=x). \]

Under strong monotonicity, i.e. \(\mathbb{P}(Y^1-Y^0\geq 0\,|\,X=x)\in\{0,1\}\), this parameter is point identified when \(K=2\) provided \(P(Y\,|\,X,\operatorname{do}(A=a))\) is identified. For \(K\geq 3\), monotonicity is insufficient and additional shape constraints are needed –or a shift to a partial identification strategy.
I investigate how shape constraints can yield informative bounds for such counterfactuals (including instrumental variables settings) and how to estimate them efficiently, noting that extremum-type functionals often lead to nonregular estimators.
Research questions:
- When do shape constraints deliver tighter or more interpretable bounds than optimal transport (OT) relaxations and other techniques?
- How can we design TMLE estimators for extremum (nonregular) functionals that remain stable and provide valid inference?
Papers:
- de Aguas, Krumscheid, Pensar, Biele (2025). The probability of tiered benefit: Partial identification with robust and stable inference. CLeaR proceedings.
Econometric analysis of regional and network drivers of development.
I work at the intersection of econometrics, networks, financial economics, and regional development; often translating analyses into interactive tools. Selected projects include:
- Belief and participation cycles in equity markets: analyzed entry–exit dynamics where belief cycles drive participation cycles (Shinny app).
- Asset prices and portfolio choice in OLG models: studied asset-price and portfolio-choice dynamics in overlapping-generations settings; built an interactive visualization (Shinny app).
- US-Latin America trade flows: measured and visualized bilateral trade exposure and dynamics (Shinny app).
- Regional competitiveness in Colombia: constructed and benchmarked competitiveness indices for Colombian departments (Shinny app).
- Network and peer effects in sustainable agriculture: used game-theoretic models to study regional adoption and contagion processes (Master’s thesis).